想了解设备资料?报价?售后?请留言,速回电
厂家直销,留言立享本月优惠价免费提供环保政策、办厂手续、投资预算等资料
作用于惯性圆锥破碎机机体上载荷,是由动锥和激振器产生的惯性力和惯性力矩,它是一种周期性的动载荷。因此,不可避免地引起惯性圆锥破碎机的振动情况。惯性圆锥破碎机的振动形式为水平圆振动、垂直振动和摆振,以及动锥料层滚压时,伴随强烈的冲击和振动所引起的附加振动。在这些振动中,水平圆振动是主振动,其他方向的振动相对来说很小,故下面分析水平圆振动的隔振情况。
.jpg)
惯性圆锥破碎机机体坐落在隔振系统上,设隔振系统的剪切弹性刚度为K,惯性破碎机和机中的物料总质量为m,破碎机在水平面内任意方向受到的惯性力为Fc,则具有水平圆振动的惯性圆锥破碎机,可简化为下图所示的弹簧质量系统。
.png)
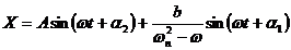
在忽略阻尼的情况下,破碎机在x方向的振动为:
![]()
一部分是频率为固有频率wn的自振动,AA是自由振动振幅,a2是破碎机运动初相位。第二部分是频率为惯性力频率w的受迫振动。由于实际振动系统中总是有阻尼存在的,因此随着时间的增长,自由振动部分总会衰减下去,以后破碎机基本上按第二部分受迫振动的规律进行振动。
当wn=w时,则振幅为无穷大,这种现象称为共振。在选择隔振系统时,一定要使它的固有频率wn远离惯性力频率w,以避免共振的发生。由于橡胶弹簧的剪切弹性刚度较小,可承受多方向载荷,且其阻尼大,对吸收突然冲击和高频振动及减小噪声有良好的效果,因此,采用橡胶弹簧作为惯性破碎机隔振元件很理想。
下一篇:LPM型立式粉碎机的工作原理
想了解设备资料?报价?售后?请留言,速回电
厂家直销,留言立享本月优惠价免费提供环保政策、办厂手续、投资预算等资料
3分钟前 高先生:时产200吨制砂机报个价,处理鹅卵石
8分钟前 李先生:移动式破碎机怎么解决粉尘问题?
13分钟前 徐女士:需要制砂机,南宁能看制砂现场吗?
16分钟前 程先生:破碎生产线出个方案及报价,有什么售后服务?
22分钟前 郑女士:想了解时产500吨锤破,加工石灰石
31分钟前 吴先生:成套石头破碎设备有吗?给个详细产品资料
36分钟前 罗先生:每小时100吨左右的鄂破和反击破,推荐下型号
42分钟前 梁先生:膨润土磨到200目,用什么磨粉设备?
提交留言我们会第一时间回复您!
复合同步圆锥破碎机是在惯性圆锥破碎机的基础上研制成功的一种新型破碎机械,复合同步圆锥破碎机主要由电机、激振器、带给料口的上连接板、带排料口的下连接板、内破碎锥体、外破碎锥体和隔振弹簧等组成
2013-05-23由于惯性破碎机有着非常好的结构特点和动力学特性,因此在处理不同性质的矿石中可以满足不同的工艺要求。对其非线性振动状况进行分析,可深层次地揭示它的优良特性,以便于更好地指导生产。
2012-12-05惯性圆锥破碎机的结构参数包括偏心静力矩、排料间隙、激振器转速、破碎腔的形状等。通过调节破碎机的结构参数,可以改变破碎机的性能指标,如产量、功耗和产品粒度组成等,以满足不同性质物料的不同要求。
2012-12-03圆锥破碎机破碎矿石时,常发生的故障就是“飞车”,这使得正常作业被打断,并造成许多人力、物理的损失。专家对“飞车”现象进行的动力学分析,为如何预防和解决“飞车”问题提供了有力的理论依据。
2012-11-19为了优化圆锥破碎机的腔型结构,我们在研究过程中,需要对于整机的生产率以及产品的粒度分布的模型都一起被考虑。根据以上所有的结论,在多目标优化模型中应该有三个目标函数。
2012-09-29一个理想的腔型,高的生产能力以及好的产品粒形是现代圆锥破碎机所应具备的主要特征。在进行腔型结构优化设计时,能够影响圆锥破碎机工作性能的主要参数都应该列入考虑的范围之内。
2012-09-28